Работа №3
Вариант 1: Работа с циклическим списком
Необходимо написать программу, которая реализует хранение и простейший набор функций для обработки данных о некоторых объектах нашего бренного мира, выбираемых по вариантам (будут приведены ниже).
Каждый элемент должен представлять собой структуру данных с необходимым набором полей, а все элементы должны представлять собой циклический список (односвязный или двусвязный – решайте сами). В программе должно быть меню, позволяющее выполнить следующие действия:
1. Добавить элемент
2. Удалить элемент
3. Вывести элементы на экран
4. Выйти
При добавлении элемента необходимо спросить у пользователя значения всех необходимых полей структуры, заполнить ими структуру, и добавить её в список (в любое место какое нравится).
При удалении элемента необходимо спросить у пользователя, по значению какого поля структуры необходимо выполнить удаление и, если таких элементов несколько, удалить их все. Номер варианта выбирается следующим образом: берёте свой номер по журналу, находите остаток от его деления на 5 и прибавляете 1.
Структуры данных для хранения:
Вариант 1: Фамилия студента, имя студента, коэффициент IQ
Вариант 2: Фамилия автора, название книги, год выпуска
Вариант 3: Название страны, площадь, население
Вариант 4: Марка автомобиля, масса, стоимость
Вариант 5: Название небесного тела, масса, первая космическая скорость.
Вариант 2: Работа с двоичным деревом поиска
В рамках работы необходимо построить двоичное дерево поиска,
вывести его как-то красиво на экран (сами придумайте как, но без
фанатизма) и реализовать поиск значений, которые есть в его узлах.
Значениями в рамках работы следует сделать обычные целые числа.
Двоичное дерево поиска – двоичное дерево, для которого
выполняются следующие дополнительные условия (свойства дерева поиска):
1. оба поддерева — левое и правое — являются двоичными деревьями
поиска;
2. у всех узлов левого поддерева произвольного узла X значения
ключей данных меньше либо равны, нежели значение ключа данных самого
узла X;
3. у всех узлов правого поддерева произвольного узла X значения
ключей данных больше, нежели значение ключа данных самого узла X.
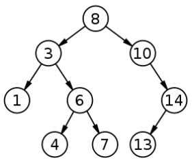
Пример двоичного дерева:

Количество вершин в дереве следует задать с помощью define-константы, на этапе тестирования можно его установить, например, в значение 7. Целые числа в вершинах дерева можно или считать из файла, имя которого потребовать задать в аргументах командной строки, или сгенерировать случайными.
Дерево должно быть реализовано в программе с помощью двусвязного списка, каждый узел которого будет содержать 3 поля: указатель на левое поддерево, информационное поле (в нём будет храниться выводимое целое число), указатель на правое поддерево.
После построения дерева и вывода его на экран пользователю необходимо предоставить возможность выполнять поиск элементов в дереве по значению их информационной части (целого числа). Задача поиска – сообщить, присутствует ли введённое значение в дереве или нет.
Неподготовленным умам задача может показаться сложной, но в действительности ничего сложного в её реализации нет. По сути дела, для выполнения этой работы вам необходимо будет сделать следующее:
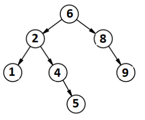
1. Сгенерировать (или считать из файла) заданное константой количество случайных чисел. Если это количество 7, то, допустим, они у вас следующие: 6, 2, 8, 4, 9, 5, 1
2. Объявить структуру данных для узла дерева
3. Построить из сгенерированных чисел двоичное дерево поиска. Это делается весьма просто: для каждого нового числа нужно начиная с корня дерева спускаться вниз до тех пор, пока не обнаружите отсутствие узла. Как только обнаружили – вставляете в это место дерева новый узел с указанным числом в информационной части. Для приведённых выше чисел это дерево будет следующим:

Получилось оно именно таким следующим образом:
а. Первую вершину делаем корнем, без вариантов
б. Для второй вершины (со значением 2) смотрим, начиная от корневой вершины, больше или меньше её значение, чем значение в вершине. 2 меньше 6, поэтому добавляем вершину в левое поддерево.
в. Следующее число – 8. Опять смотрим, начиная с корня. Понимаем, что 8 больше чем 6, поэтому добавляем её вправо от корня.
г. Следующее число – 4. Опять смотрим, начиная с корня. 4 меньше чем 6, поэтому переходим к правому поддереву корня, но там у нас уже есть вершина со значением 2. Сравниваем число в добавляемой вершиной со значением в вершине 2, понимаем, что 4 больше 2, значит добавляем вершину со значением 4 справа от 2.
д. И так далее.
4. Вывести на экран построенное дерево (если вам кажется, что выводить на экран готовое дерево слишком сложно, вывод на экран можно делать в процессе построения, так будет немного проще)
5. Предложить пользователю ввести число, после чего сообщить, есть ли такое число в дереве.